农学院智慧农业系任天恒教授课题组在小麦品质育种和相关QTL发掘工作中取得新进展。该研究以小麦品种川农17和川农11创制的RIL群体为研究材料,通过小麦55K芯片绘制了一张含有8329个SNP分子标记的高密度遗传连锁图谱。通过多年多点对小麦群体的蛋白质含量、淀粉含量、溶胀指数、沉降值、湿面筋含量、面筋指数和降落值进行的测定,结合QTL定位技术,一共定位了92个QTL位点,194个cQTL位点和117个eQTL位点。其中有6个QTL位点,分别是QGPC.sau-4A.1、QWGC.sau-4A、QSDSS.sau-1A.1、QGI.sau-1A、QFN.sau-4D和QSIG.sau-1A被认为是和各性状相关的主效稳定位点。BLAST结果表明除了QFN.sau-4D以外,其他的5个位点为新QTL位点。在QTL簇的分析中,分别在1A、1D、2D、4A、4D和6D染色体上鉴定到8个QTL簇,所有的主效稳定位点均位于不同的QTL簇内。最后,通过6个主效稳定的QTL的侧翼序列,开发了和这6个QTL紧密连锁的分子标记并在不同的群体中进行了验证,实验证明这些稳定主效的QTL位点会显著影响小麦的品质。

图1主效稳定QTL位点的遗传效应
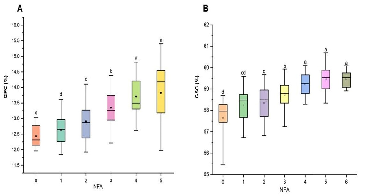
聚合效应分析表明,在本研究中发现的5个和蛋白质含量相关的QTL,只要在某一株系中任意出现0-4个时,蛋白质含量均会显著增加,而本研究中发现的6个和淀粉含量相关的QTL,只要在某一株系中任意出现0-4个时,淀粉含量也会显著增加,呈现了典型了聚合效应。

图2蛋白质和淀粉含量的聚合效应分析
该研究以永利yl23411集团官网为第一署名单位,农学院李治副教授和2024届硕士毕业生李辛丽为共同第一作者,任天恒教授为通讯作者,以题目《Identification and validation of quantitative trait loci for seven quality-related traits in common wheat (Triticum aestivumL.)》(七个小麦品质性状相关QTL的鉴定与验证)在国际著名期刊《Theoretical and Applied Genetics》(中科院一区TOP期刊)发表。为西南麦区的小麦品质育种提供了新依据。本研究受到国家自然科学基金,国家农业重大科技项目,四川省科技厅自然科学基金,西南作物基因资源发掘与利用国家重点实验室“生物育种”揭榜挂帅项目等项目的支持。
全文链接:https://link.springer.com/article/10.1007/s00122-025-04851-w